1. Dept. of Chemical and Materials Engineering, Tamkang University, New Taipei City 251, Taiwan
2. Dept. of Mechanical Engineering, Chung Yung Christian University, Taoyuan City 320, Taiwan
3. CoreTech System (Moldex3D) Co., Ltd., Hsinchu 302, Taiwan
Different optimization methods or strategies have been proposed and utilized to enhance the quality of injected products for many years. However, what is the machine characteristics to influence the efficiency of the optimization method? It is not fully understood yet. In this study, the injection machine characteristics has been identified using numerical simulation (Moldex3D) based on a round plate system. The response surface method (RSM) was further utilized for both simulation prediction and experimental conduction to discuss the efficiency of the optimization for operation parameters in injection molding. Results showed that before the machine identification and calibration, the quality of injected part can be improved by 75% theoretically. At the same time, the real experimental system demonstrated worse result. However, the difference between simulation and experiment has the same amount no matter the system has been optimized or not through RSM method. Moreover, after the machine identified and calibrated, the difference between simulation prediction and experimental observation has been improved by 71.4%. Also, the accuracy of the RSM
optimization in the real experiment has been enhanced by 50% (from -0.06 mm to 0.03 mm). Obviously, it showed that the machine identification for the real capability is very important.
Introduction
Different optimization methods or strategies have been proposed and utilized to enhance the quality of injected products for many years. In general, some optimization methods could integrate various operation parameters to deal with the complex system successfully. For example, Lee and Kim [1] considered to modified part wall thickness within dimensional tolerances to minimize the warpage. Yen et al [2] utilized the diameter and length of the runner system to optimize the warpage performance. Ozcelik and Erzurumlu [3-4] tried to integrate finite element analysis, statistical design of experiment (DOE) method, response surface methodology, ANN, and genetic algorithm to reduce warpage. Zhai and Xie [5] applied sequential linear programming (SLP) and CAE to optimize the gate performance to achieve a balanced flow and then to reduce the warpage of injected parts. Tseng et al [6] have studied the shrinkage behavior along the full domain of a mobile phone cover. They applied 3D volume shrinkage compensation method (3DVSCM) to reduce the warpage. Moreover, to optimize the complex factors, many researchers have applied design of experiment (DOE) method, RSM method, or other methods. Tsai and Tang [7] utilized response surface method to establish the process window of injection molding process for a given form accuracy of spherical lenses. They claimed that their proposed method for constructing a process window is reasonably accurate with 7-10% error. Xu and Yang [8] integrated Taguchi’s parameter design method, neural network and grey correlation analysis (GCA) to solve the multi-objective optimization problem. Kitayama et al. [9] applied a sequential approximate optimization (SAO) based on the CAE simulation to determine the optimal process parameter. The data was further used to identify a pareto-frontier. The idea could be utilized for multi-objective optimization, such as short cycle time, warpage reduction, weld lines reduction and clamping force minimization and so on. Furthermore, Huang et al [10] have been discussed the influence of the machine calibration effect on the quality optimization using design of experiments (DOE) in injection molding. However, when the optimization method is switched to response surface methodology (RSM), what is the machine characteristics to influence the efficiency of RSM optimization? It is not fully understood yet.
Hence, in this study, the injection machine characteristics has been identified using numerical simulation (Moldex3D) based on a round plate system. Then a series virtual tests based on RSM using the round plate system have been performed via computer-aided engineering (afterward, it is called CAE-RSM) to optimize the processes. Moreover, the virtual optimized factors will be specified into an injection molding process for a real experimental testing and see how accurate it is. Finally, the machine identification effect on the accuracy of quality will be discussed.
Investigation Method and Procedures
In this study, Moldex3D R16® was adopted for injection molding processes simulation and CAE-RSM. Figure 1(a) presents the sprue and runner of the model. The main structure is a round plate with diameter of 60 mm, and 2 mm thickness. The moldbase and cooling channel layout is displayed in Figure 2. The size of moldbase is 350 mm x 300 mm x 320.5 mm. There are two cooling channels inside the core side and cavity side respectively. The material utilized is ABS (PA757 supplied by Che-Mei Co., Tainan City, Taiwan).
Furthermore, to evaluate the quality factor of the injected parts, the shrinkage behavior over the injection round disc was examined as shown in Figure 3. Specifically, the circumference of the injected round plate has been divided into eight equal portions using four diameters I (DI) to IV (DIV). Then the average diameter is obtained, as defined by Equation (1). In addition, the deviation has been considered from the target value (60 mm). It is defined as the difference between the injected diameter and the design diameter as in Equation (2), where Ddesign is 60 mm. In the rest of this paper, the “deviation” factor will be applied as the standard to evaluate the quality.

The system: (a) geometrical structure, (b) round plate with diameter of 60 mm.
Middle: Figure 2:
The moldbase and cooling channel layout.
Right: Figure 3:
The diameter of injected part is measured one-by-one from four different directions.
Moreover, to verify the accuracy of the numerical prediction, the real injection molding system was setup based on FCS injection machine (supplied by Fu Chun Shin Machinery Co. Ltd, Tainan City, Taiwan.) as exhibited in Figure 4. In order to identify the machine performance, one pressure transducer has been installed into the system at the sensor node locations as shown in Figure 5 for both simulation and experiment. Then a series basic test has been performed to make the comparison between simulation and experimental results with the same operation condition settings. The operation conditions for basic settings are as follows: injection velocity setting is 50% (75 mm/s); packing time is 8 s; cooling time is 11 s; melt temperature is 210oC; mold temperature is 50oC; packing pressure setting is from 50% to 100% of the end of filling
pressure.

The mold structure for the experimental study.

The sensor node location or setting up the pressure transducer.
Furthermore, a series virtual injection molding trials based on Response Surface Methodology (RSM) have been performed as defined in Table 1. Specifically, there are six factors which have been considered including injection velocity (IV), mold temperature (MDT), packing pressure (PP), packing time (PT), melt temperature (MLT), and cooling time (CT). Regarding the second-order model for RSM in this study, the Box-Behnken Design (BBD) algorithm is adopted. Based on BBD, each factor has three level set (-1, 0, +1). A 54-set of the orthogonal array has been constructed as listed in Table 1. Since the table is too long, only 20/54 sets have been listed here\. Later, before doing the machine identification, the detailed operation conditions for each set can be described in Table 2. For example, regarding the injection velocity etting, three levels are 25 mm/s (20% injection setting), 75 mm/s (60% injection setting), and 125 mm/s (100% injection setting), respectively. Here the maximum injection velocity of machine is 125 mm/s. Then the original operation condition can be selected as the grey area (the column of Control factor with “0”) in Table 2. Specifically, the injection speed is 75 mm/s. The mold temperature is 50oC. The packing pressure is 95.2 MPa. The packing time is 8 s. The melt temperature is 210oC. The cooling time is 11 s. The dimensional precision of the diameter of the injection round disc will be used as the criteria to evaluate of quality for this study.

The orthogonal array for RSM performance (only 20/54 sets has been shown) where IV is injection velocity; MDT is mold temperature; PP is packing pressure; PT is packing time; MLT is melt temperature; CT is cooling time.

The optimized factors and their levels before machine
identified. *The grey area shows the original design operation condition.
Results and Discussion
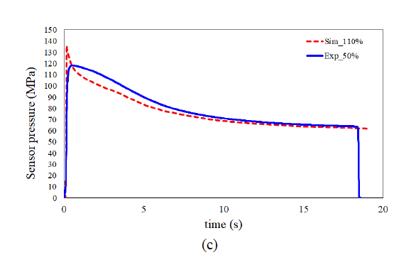
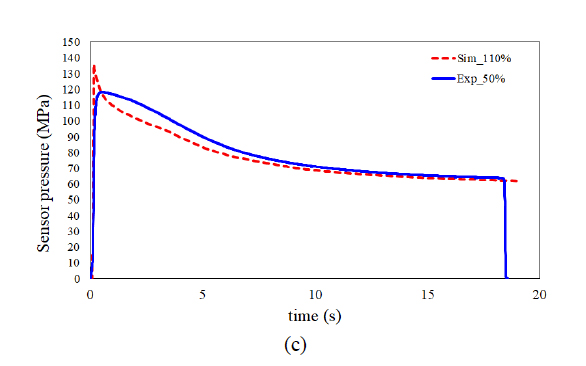
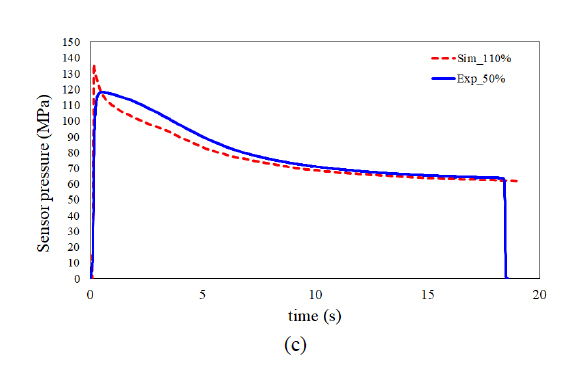
Figure 6(a) presents the comparison of the shrinkage behavior between numerical simulation and experimental observation via the basic test. When the packing pressure setting is 72% for experimental test, the deviation is around zero. That is at 72% packing pressure setting the shrinkage of the injected part can be fully compensated. However, to touch zero deviation it needs to change the packing pressure to 90% for simulation system. Clearly, even the operation condition settings are exact the same, the injection performance capability of the experiment is higher than that of simulation counterpart. But how the machine capability can be identified? To evaluate the internal capability, the injection pressure history carve can be utilized [10]. Figure 6(b) shows the injection pressure history curves for simulation and experimental cases with the same operation conditions. Obviously, the pressure of the experimental case is higher than that of simulation one over the entire filling and packing period. It is the reason why the deviation of the shrinkage behavior of the experimental system is more positive (that is expansive) than that of simulation one. In addition, to evaluate the real capability of the experimental system, it can be increased the driving theoretically. When the injection velocity is increased to 110% setting virtually, the injection pressure history of the simulation is matched with that of experimental 50% injection velocity setting. The simulation of 110% injection velocity setting and experiment of 50% injection velocity setting are regarded as the matched pair. Using the same logic, other simulation and experimental matched pairs can be obtained. Based on the matched relationship, the real capability of the injection machine can be identified and calibrated using simulation counterparts.

Moreover, the injection operation parameters can be optimized through RSM technique. Before doing the machine identification and calibration, the RSM optimization can be performed based on the recipe described from Table 1 and Table 2. The results are presented in Figure 7. In that Figure, the deviation from the simulation is about 0.04 mm, and that from experiment is around -0.03 mm for the original design. The difference between simulation and experiment is 0.07 mm. After performed RSM optimization through evaluated 54-set of injection molding trials virtually, the analysis of variance for second order model can be obtained. The predicted R square is around 77.32%. After clean the non-significant second order items, the updated analysis of variance for second order model can be obtained again. The revised predicted R square is around 91.33%. The relation of the optimized operation parameters is achieved. The optimization result is exhibited as “CAE-RSM (Sim)” with deviation of 0.01 mm. Furthermore, the optimized parameters can be further applied to the real injection molding and result is exhibited as “RSM (Exp)” with deviation of -0.06 mm. Clearly, after applied RSM optimization, the difference between simulation and experimental results are still 0.07 mm. Meanwhile, comparing the Original design (Sim) and CAE-RSM (Sim), the deviation is from 0.04 mm to 0.01 mm. The deviation has been reduced by 75%theoretically. On the other hand, from the difference between Original design (Exp) and RSM (Exp), the deviation is from -0.03 mm to -0.06 mm (reduced 0.03 mm) experimentally. Although the result is getting worse in the real system, the variation trend of the deviation is exact same as in simulation system.

Moreover, after the injection machine has been identified and calibrated, the parameter range has been turned up as listed in Table 3. Using Table 3 and the 54-parameter set from the orthogonal array in Table 1, the RSM optimization could be executed. The result is updated into Figure 8. After machine identified and calibrated, the deviation of injected part is presented as “CAE-RSM (Sim-calibrated) with 0.0 mm by simulation prediction. Furthermore, the RSM optimized parameter set has been introduced into the real injection molding, the result is displayed as “RSM (Exp_calibrated)” with deviation of 0.03 mm in Figure 8. Comparing to the RSM optimized system before identified, the difference between simulation prediction and experimental observation has been improved by 71.4% (from 0.07 mm to 0.02 mm). In addition, the accuracy of the RSM optimization in the real experiment has been enhanced by 50% (from -0.06 mm to 0.03 mm). Obviously, it demonstrated that the machine identification for the real capability is very important.


Conclusions
In this study, the injection machine characteristics has been identified using numerical simulation based on a round plate system. The response surface method (RSM) has been further utilized for both simulation prediction and experimental conduction to discuss the efficiency of the optimization for operation parameters in injection molding. Results showed that before the machine identification and calibration, the quality of injected part can be improved by 75% theoretically, but the real experimental one demonstrated worse result. However, he difference between simulation and experiment is the same no matter the system has been through RSM optimized or not. Moreover, after the machine has been identified and calibrated, the difference between simulation prediction and experimental observation has been improved by 71.4%. Also, the accuracy of the RSM optimization in the real experiment has been enhanced by 50% (from -0.06 mm to 0.03 mm). Obviously, it demonstrated that the machine identification for the real capability is very important.
Acknowledgements
The authors would like to thank Ministry of Science and Technology of Taiwan, R.O.C. (Project number: MOST 108-2218-E-033-009-) for partly financially supporting for this research.
References
1. B. H. Lee, and B. H. Kim, Polymer-Plastics Technology and Engineering, 34(5), 793-811 (1995).
2. Yen C, Lin JC, Li WJ, Huang MF, Journal of Materials Processing Technology, 174, 22-28 (2006).
3. B. Ozcelik and T. Erzurumlu, International Communications in Heat and Mass Transfer, 32, 1085–1094 (2005)
4. B. Ozcelik and T. Erzurumlu, Journal of Materials Processing Technology, 171, 437–445 (2006)
5. Zhai M, Xie Y, International Journal of Advanced Manufacturing Technology, 49, 97-103 (2010).
6. C.-H. Tseng, C.-T. Huang, Y.-C. Liu, W.-L. Yang, and R.-Y. Chang, SPE Technical Papers, No. 2096337, 1-6. (2015)
7. K. M. Tsai, B. H. Tang, International Journal of Advanced Manufacturing Technology, Volume, 75, 947–958 (2014).
8. G. Xu and Z. Yang, International Journal of Advanced Manufacturing Technology, 78, 525–536 (2015).
9. S. Kitayama, H. Miyakawa, M. Takano, and S. Aiba, International Journal of Advanced Manufacturing Technology, 88, 1735–1744 (2017
10. C.-T. Huang, Y.-H. Hsu, and B.-S. Chen, Polymer Testing, 75, pp 327-336 (2019).


