A simulation of an imprinting process using Smoothed Dissipative Particle Dynamics is shown. Cavity filling modes and their dependence on die parameters is demonstrated for single and multi-cavity die, showing results consistent with FEM simulations and experimental data. Particle-based simulation methods can allow for modeling of more complex fluid behaviors.
Introduction
Embossing or imprinting is a contact shaping process by which patterns may be made on the surface of a material by pressing a mold onto its surface. This process can form complex images with details as small as 10 nanometers, called nanoimprinting. At the nanoscale, imprinting is used in the lithographic process to make electronics, and at the macroscale, imprinting is used in metal manufacturing and minting coins. Numerous simulations have been developed to model the imprinting process using finite element methods (FEM); these models are effective at capturing general behaviors of materials but lack the capability of describing discrete or complex fluid behaviors. Thus, there has been a growing interest in particle-based methods of process modeling. Smoothed Dissipative Particle Dynamics (SDPD) [1] utilizes macroscopic properties of fluids to simulate fluid flow, and has been used to model polymer fluids, suspensions, and nanoscale hydrodynamics [2-4]. In this paper, we demonstrate the ability of SDPD to simulate fluid flow in the imprinting process and show how cavity filling is affected by the geometry of the system.
Model Formulation
Governing Equations
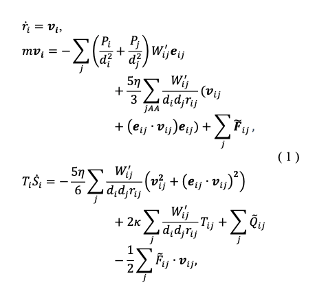
Smoothed Dissipative Particle Dynamics utilizes a discretization of the Navier-Stokes equations which algorithmically preserves the first and second law of thermodynamics; this means that fluids may be modeled with particles that will both follow the rheological behaviors of the fluid and incorporate properly scaled thermal fluctuations via Brownian motion (Eq. (1)).
The implementation of SDPD in LAMMPS via the pair style sdpd/taitwater/isothermal operates under a few additional assumptions; constant and uniform temperature & shear viscosity, a negligible volume viscosity versus shear viscosity, and a negligible Boltzmann constant compared to the heat capacity of a single fluid particle [5,6]. Furthermore, the pressure between particles is calculated using Tait’s equation of state (Eq. (2)):
Also, a Lucy kernel function is used to calculate the number density of particles (Eq. (3)):
Geometry and Boundary Conditions
A 2D simulation box is constructed, with the x walls given fixed period boundary conditions, the lower y wall given a fixed non-periodic boundary condition, and the upper y wall given a shrink-wrapped non-periodic boundary. A wall of fixed particles is placed at the bottom of the simulation box, and a movable set of particles is placed at the top; these two represent the belt and imprint die, respectively [8]. The imprint die is moved with a constant force downwards, generating pressure on the fluid and deforming it. The size of the simulation box may vary between 20µmx80µm and 50µmx180µm.
Simulation Results
To demonstrate the effectiveness of SDPD in modeling the imprinting process, it is imperative to show that it exhibits the general behavior shown in FEM simulations and in experimental results [7]. It is known that peak formation within a cavity is dependent on several parameters; the film thickness, the cavity height, the tool width, and the cavity width.
Figure 1 shows the transition between single and dual peak formation in relation to the dimensionless cavity width: for a given indenter thickness, as the cavity width increases, the peak mode transitions from single to dual. The distance of the dual peaks from the edge of the imprint die is approximately equal to the polymer thickness. Figure 2 shows the transition between single and dual peak formations in relation to the ratio of cavity height to film thickness: for a given imprint die, as the thickness of the polymer increases, the peak mode transitions from dual to single. This indicates the simulation well approximates the flow of a Newtonian polymer in the imprinting process.

Demonstration of peak mode dependency on the dimensionless cavity width: as the cavity width increases, the peak mode transitions from single peak to dual peak.
Right: Figure 2:
Demonstration of peak mode dependency on the dimensionless cavity height: as the cavity height decreases, the peak mode transitions from dual peak to single peak.
The stress within the polymer fluid may also be determined, as shown in figure 3. The stress at the middle of the fluid increases as the indenter width decreases, which follows trends found previously [7]. The stress information gives some insight into the flow and displacement of the fluid: the upper layer of the fluid within the cavity does not seem to experience much stress until it reaches the cavity floor, which indicates that the relative motion of this upper layer is small relative to the fluid below it.

Right: Figure 4: Demonstration of multicavity flow and filling dependency on local cavity size.
Multicavity Flow
The flow behavior of polymers in a multicavity die is of particular interest to manufacturers, as most geometries will involve more than one cavity. For shear flow, the preferential filling of cavities is dependent upon the ratio of the local cavity half width of the smallest cavity and the film thickness; when W< 0.5ℎi, the smaller cavities fill first, and when W< 0.5ℎi, the larger cavities fill first, as shown in figure 4. The central cavity will have either a single or dual peak mode, determined in a similar manner to single cavity flow.
Discussion
There is a limitation to the current utility of this method: the assumption of a simple Newtonian fluid made by the sdpd/taitwater/isothermal pair style in LAMMPS can predict many of the general flow trends in the imprinting process but may be limited in its capacity to make precise predictions of non-Newtonian flow behavior. The effective viscosity of the fluid can be modified, however, if one uses chains of particles connected by a molecular bonding potential, effectively creating polymer molecules. This method of altering the viscosity can also enable an understanding of discrete effects on flow behavior.
Conclusions
We have shown from our initial results the capability of SDPD in simulating polymer flow in the imprinting process. The peak formation behavior and its dependency on die geometry was explored, and the stress and its implications for the fluid flow was analyzed. The changes in peak mode and filling behavior of multicavity imprint die was also shown.
References
1. P. Espanol and M. Revenga, “Smoothed dissipative particle dynamics”. Physical Review E 67, 026705, (2003).
2. S. Litvinov, Q. Xie, X. Hu, N. Adams, and M. Ellero, “Simulation of Individual Polymer Chains and Polymer Solutions with Smoothed Dissipative Particle Dynamics”. Fluids 1, 7, (2016).
3. X. Bian, S. Litvinov, R. Qian, M. Ellero, and N.
A. Adams, “Multiscale modeling of particle in suspension with smoothed dissipative particle dynamics”. Physics of Fluids 24, 012002, (2012).
4. H. Lei, C. J. Mundy, G. K. Schenter, and N. K. Voulgarakis, “Modeling nanoscale hydrodynamics by smoothed dissipative particle dynamics”, The Journal of Chemical Physics 142, 194504 (2015).
5. M. Jalalvand, M. A. Charsooghi, and S. Mohammadinejad, “Smoothed Dissipative Particle Dynamics package for LAMMPS”. Computer Physics Communications 255, 107261, (2020).
6. M. Ellero and P. Español, “Everything you always wanted to know about SDPD* (*but were afraid to ask)”. Applied Mathematics and Mechancics-English Edition 39, (2018), pp. 103–124.
7. H. D. Rowland, “Thermomechanical Manufacturing of Polymer Microstructures and Nanostructures”, (2007).
8. C. Yang, M. Li, J. Wang, H. Ye, and J. Qiu, “Residual Layer Assisted Demolding in Roll-to-roll UV Imprint Lithography”. Microelectronic Engineering 217, 111110, (2019).
9. S. Plimpton, “Fast Parallel Algorithms for Short-Range Molecular Dynamics”. Journal of Computational Physics, vol. 117, no. 1, Elsevier Inc, (1995), pp. 1–19.



